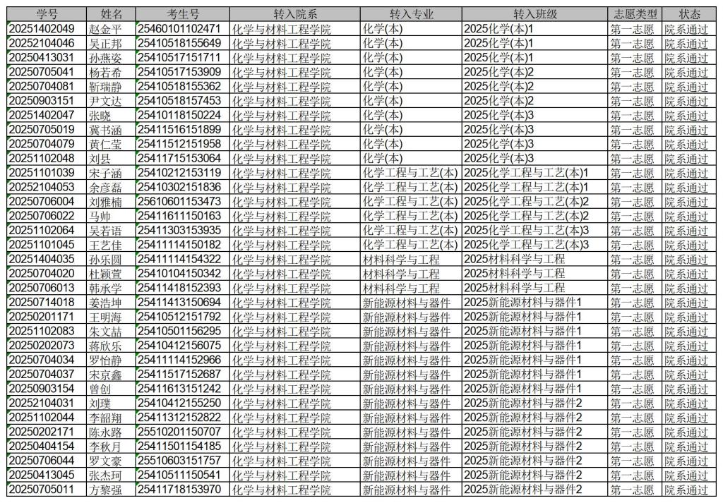
依据《tyc122ccvip员工学籍学历管理实施细则(修订)》(新院教〔2023〕26号)和《tyc122ccvip员工转学、转专业管理办法(修订)》(新院教〔2023〕25号)文件有关要求,按照公司的统一部署,经员工本人申请、员工所在公司同意,教务处初审,专业考核,公司转专业工作领导小组研究,现就拟接收的转专业员工名单公示如下:

版权所有:太阳成(tyc122cc-VIP认证集团)-Official Platform
地址:新乡市金穗大道191号tyc122ccvipA15号楼,电话:0373-3682674
